Ο ΕΟΔΥ ανακοίνωσε το απόγευμα της Κυριακής (03/07) ότι τα εργαστηριακά επιβεβαιωμένα νέα κρούσματα του κοροναϊού που καταγράφηκαν το τελευταίο εικοσιτετράωρο είναι
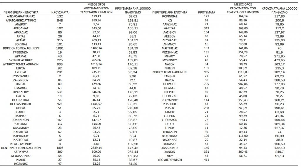
Στα 11.629 ανέρχονται τα νέα κρούσματα του κοροναϊού που ανακοίνωσε σήμερα ο ΕΟΔΥ. Από αυτά, στην Αττική εντοπίστηκαν τα 6.664 νέα κρούσματα. Η κατανομή των κρουσμάτων σήμερα είναι η εξής:
Ανατολική Αττική 848
Βόρειος Τομέας Αθηνών 1091
Δυτική Αττική 225
Δυτικός Τομέας Αθηνών 833
Κεντρικός Τομέας Αθηνών 1806
Νότιος Τομέας Αθηνών 965
Πειραιάς 795
Νήσοι 101
Η κατανομή στην υπόλοιπη Ελλάδα ανά περιφερειακή ενότητα διαμορφώνεται ως εξής:

Novibet ΕΠΑΘΑ με Super Προσφορά* Γνωριμίας* 21+ | ΑΡΜΟΔΙΟΣ ΡΥΘΜΙΣΤΗΣ: ΕΕΕΠ | ΚΙΝΔΥΝΟΣ ΕΘΙΣΜΟΥ & ΑΠΩΛΕΙΑΣ ΠΕΡΙΟΥΣΙΑΣ | ΓΡΑΜΜΗ ΒΟΗΘΕΙΑΣ ΚΕΘΕΑ: 2109237777 | ΠΑΙΞΕ ΥΠΕΥΘΥΝΑ
SEAJETS Ταξιδεύουμε μαζί με το μεγαλύτερο στόλο ταχύπλοων παγκοσμίως σε 50 προορισμούς του Αιγαίου!


